
Possiamo definirlo come esponente di una potenza e cioè come prodotto di infiniti fattori e come somma di infiniti addendi
La prima volta che mi sono imbattuto con il concetto di infinito (simbolo matematico un otto ruotato di 90°: ¥) è stato quando il mio docente di matematica del liceo, ha spiegato gli assi cartesiani: una croce al cui centro è posto lo zero e alle estremità, nelle quattro direzioni, è posto l’infinito. L’infinito lo ritroviamo anche nella potenza ennesima di un binomio:
(a + b)n
sviluppo dovuto a Isaac Newton a cavallo tra 1600 e 1700. Infatti l’esponente n può assumere un valore grande quanto si vuole. Vediamo come trasformare in somma questa potenza al crescere di n.
Per n = 0 si ha:
(a + b)0 = 1.
Per n = 1 si ha:
(a + b)1 = a + b.
Per n = 2 si ha:
(a + b)2 = a2 + 2ab + b2.
Per n = 3 si ha:
(a + b)3 = a3 + 3a2b + 3ab2+ b3.
…
Analizziamo gli sviluppi.
- Il numero degli addendi è pari a n+1;
- La potenza totale dei singoli addendi è pari a n. Es. per n=3 il termine 2ab2 ha potenza complessiva pari a 3=1+2;
- simmetria negli esponenti rispetto ai due termini a e b. Es. per n=3 a e b compaiono quattro volte: a3b0; a2b; a1b2; a0b3, ovviamente a0=b0=1;
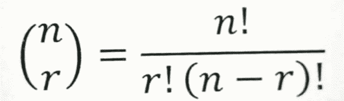
- i coefficienti dei vari addendi sono dati da n!/k!(n-k)!, dove n è l’esponente del binomio ed è un numero intero e k è un numero intero tale che k <= n;
- n!=1*2*…*n si chiama fattoriale di n ed è il prodotto dei primi n numeri naturali. Ad esempio il coefficiente di a2 per n=2 risulta: 2!/0!(2-0)!=1, essendo 0!=1 per convenzione.
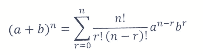
Da quanto riportato possiamo riscrivere la potenza n-esima di un binomio come sommatoria di n+1 termini in forma compatta nel seguente modo:
In questo modo si è trasformato formalmente una potenza a esponente infinito nella somma di infiniti addendi (il sigma lettera greca maiuscola rappresenta la somma di infiniti addendi). Non è un caso che i matematici vengano chiamati a formalizzare le nuove scienze o nuove conoscenze. Infatti si potrebbe semplificare, formalmente, la formula precedente introducendo la notazione delle combinazioni semplici di n elementi presi r a r con r < n:
Da quanto detto è chiaro che l’infinito lo troviamo come esponente di una potenza e cioè come prodotto di infiniti fattori e come somma di infiniti addendi perché le operazioni fondamentali di somma e prodotto sono interconesse tra di loro.
























